SSC/Structure/PolytropesEmbedded/Other
Embedded Polytropic Spheres[edit]
Part I: General Properties
|
Part II: Truncated Configurations with n = 1
|
Part III: Truncated Configurations with n = 5
|
Part IV: Other Considerations
|
Additional, Numerically Constructed Polytropic Configurations[edit]
As has been detailed in an accompanying chapter, using numerical techniques we have solved the Lane-Emden equation, and thereby discerned the internal structural profiles, for polytropes having a wide variety of polytropic indexes. The righthand panel of Figure 3 presents a diagram in which the mass-radius "sequences" corresponding to eight different polytropic indexes have been drawn.
Turning Points[edit]
Limiting Pressure Along M1 Sequence[edit]
As is illustrated in the figures presented above, when an equilibrium sequence is constructed for any bounded (pressure-truncated) configuration having , the sequence exhibits multiple "turning points." For example, when moving along the R-P sequence displayed in Figure 1 for configurations, the external pressure monotonically climbs to a maximum value, , then "turns around" and steadily decreases thereafter. Horedt (1970) and Kimura (1981b) separately derived an expression that pinpoints the location of the turning point along an R-P sequence — Kimura refers to this as an "M1 sequence" because the configuration's mass is held fixed while the external pressure and the system's corresponding equilibrium radius is varied. The turning point is located along the sequence at the point where,
|
|
|
|
or, just as well, where,
|
|
|
|
In what follows, we examine the expressions derived by both authors in order to show that they are identical to one another as well as to re-express the result in a form that conforms to our own adopted notation.
Horedt's Derivation[edit]
Appreciating that Horedt's notation for the surface pressure of an equilibrium configuration — which equals the applied external pressure — is , and his notation for is , the requisite expression from Horedt's paper [see also equation (13) in Viala & Horedt (1974)] is the one displayed in the following boxed image:
|
Excerpt from Horedt (1970) |
|||
|
That is, from Horedt's work we have,
|
|
|
|
Let's independently derive this relation, starting from Horedt's equilibrium expressions for and , as summarized above. (For purposes of simplification, we will for the most part drop the tilde notation.)
|
|
|
|
|
|
|
|
|
|
|
|
|
|
|
|
|
|
|
|
|
|
|
|
|
|
|
|
|
|
|
|
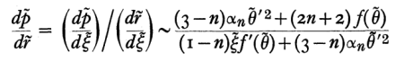
The ratio of these two expressions gives,
|
|
|
|
completing our task, as the term inside the curly braces exactly matches the equation excerpt from Horedt's work, as displayed above.
Kimura's Derivation[edit]
Appreciating that Kimura uses the subscript "1," rather than a tilde, to identify equilibrium parameter values, the requisite expression is equation (22) from Kimura's "Paper II," as displayed in the following boxed image:
|
Excerpts (edited) from Kimura (1981b) |
|||
|
Drawing on the additional parameter and variable definitions provided in our discussion of Kimura's presentation, above, we can rewrite this key expression as,
|
|
|
|
where,
|
|
|
|
|
|
|
|
|
|
|
|
|
|
|
|
|
|
|
|
|
|
|
|
|
|
|
|
Hence, from Kimura's work we find,
|
|
|
|
Appreciating that , we see that the expression inside the curly braces here matches exactly the expression inside the curly braces that was obtained through Horedt's derivation, as it should! The prefactor is different in the two expressions only because Kimura's result is for a logarithmic derivative whereas Horedt's derivation is not; the ratio of the two prefactors is, simply, the ratio,
|
|
|
|
|
|
|
|
In a separate discussion, specifically focused on the mass-radius relationship, we show how Kimura's analysis of turning points can be usefully applied.
Location of Pressure Limit[edit]
Now we can identify the location along the M1 sequence where the turning point set by occurs by setting the numerator of this expression equal to zero, specifically,
|
|
|
|
This means that the equilibrium model that sits at the turning point will have,
|
|
|
|
Other Limits[edit]
In a similar fashion, Kimura (1981b) derived mathematical expressions that identify the location of other turning points along equilibrium sequences of bounded polytropic configurations. An M1 sequence — as displayed, for example, in the set of P-R diagrams shown in Figure 1, above — exhibits not only an "extremal of p1" but also an "extremal of r1." As we have just reviewed, the first of these is identified by setting or, using Kimura's more compact terminology, the first occurs at a location that satisfies the condition,
that is, where …
Similarly, Kimura points out that an "extremal in r1" along an M1 sequence occurs at a location that satisfies the condition,
that is, where …
As is illustrated by the plots presented in Figure 2, above, turning points also arise in the mass-radius relationship of bounded polytropic configurations having . These are identified by Kimura as "p1 sequences" because the external pressure is held fixed while the system's mass and corresponding equilibrium radius is varied. In §5 of his "Paper II," Kimura points out that the same two conditions — namely, and — also identify the location of extrema in M1 along, respectively, p1 sequences and r1 sequences.
We can also identify extrema in r1 along p1 sequences by setting in Kimura's equation (17), then substituting the resulting expression for the function , namely,
into his equations (15) and (16). The ratio of these two resulting expressions gives,
|
|
|
|
|
|
|
|
|
|
|
|
As has just been reviewed, the condition results from setting the numerator of this expression equal to zero and identifies extrema in M1 along p1 sequences. In addition, now, we can identify the condition for extrema in r1 along p1 sequences by setting the denominator to zero. The condition is,
Some Tabulated Values[edit]
| Table 3: Turning-Point Locations along M-R Sequences of Pressure-Truncated Polytropes | |||||||||||||
|---|---|---|---|---|---|---|---|---|---|---|---|---|---|
| n | ● Maximum Radius ● | ● Maximum Mass ● | |||||||||||
| 3 | 2.172 | 0.5387 | 0.2496 | 1.006 | 0.5717 | 1.726 | 6.89684862 | 0.0 | -0.04242976 | -- | 0.0 | 2.9583456 | |
| 3.05 | 2.162 | 0.5437 | 0.2479 | 1.010 | 0.5704 | 1.715 | 5.034 | 0.1152 | 0.07842 | 0.973 | 0.2707 | 2.829 | |
| 3.5 | 2.050 | 0.5930 | 0.2340 | 1.011 | 0.5630 | 1.594 | 3.910 | 0.2788 | 0.1126 | 0.994 | 0.4180 | 2.311 | |
| 5 | |||||||||||||
| 6 | 1.6 | 0.7510 | 0.1884 | 1.003 | 0.5404 | 1.301 | 2.7 | 0.5811 | 0.1221 | 0.999 | 0.4802 | 1.635 | |
Related Discussions[edit]
- Constructing BiPolytropes
- Analytic description of BiPolytrope with
- Bonnor-Ebert spheres
- Bonnor-Ebert Mass according to Wikipedia
- A MATLAB script to determine the Bonnor-Ebert Mass coefficient developed by Che-Yu Chen as a graduate student in the University of Maryland Department of Astronomy
- Schönberg-Chandrasekhar limiting mass
- Relationship between Bonnor-Ebert and Schönberg-Chandrasekhar limiting masses
- Wikipedia introduction to the Lane-Emden equation
- Wikipedia introduction to Polytropes
|
Appendices: | VisTrailsEquations | VisTrailsVariables | References | Ramblings | VisTrailsImages | myphys.lsu | ADS | |





