SSC/Structure/BiPolytropes/51RenormaizePart3
BiPolytrope with nc = 5 and ne = 1[edit]
After studying 📚 S. Yabushita (1975, MNRAS, Vol. 172, pp. 441 - 453) in depth, here we renormalize our original construction of bipolytropic models with such that both entropy values, , are held fixed along each model sequence.
Original Derivation[edit]
Throughout the Core[edit]
Drawing from our original derivation, throughout the core …
|
Specify: and |
|
|||
|
|
|
|
|
|
|
|
|
|
|
|
|
|
|
|
|
|
|
|
|
|
|
|
Throughout the Envelope[edit]
|
|
Knowing: and from Step 5 |
|||||
|
|
|
|
|
|
|
|
|
|
|
|
|
|
|
|
|
|
|
|
|
|
|
|
|
|
|
|
|
|
|
|
Interface Conditions[edit]
And at the interface …
|
|
Setting , , and |
|||
|
|
|
|
|
|
|
|
|
|
|
|
|
|
|
|
|
|
|
|
|
|
|
|
New Normalization[edit]
From one of the interface conditions, we see that,
|
|
|
|
|
|
|
|
|
Alternate01
ABANDONED |
Hence, throughout the core, we have,
|
|
|
|
|
|
|
|
|
|
|
|
|
|
|
|
||
|
|
|
|
|
|
|
|
|
|
||
|
|
|
|
|
|
|
|
|
|
||
|
|
|
|
||
And, throughout the envelope …
|
|
|
|
|
|
|
|
|
|
||
|
|
|
|
|
|
|
|
|
|
||
|
|
|
|
|
|
|
|
|
|
||
|
|
|
|
|
|
|
|
|
|
||
|
|
|
|
||
| Adopted Normalizations | ||||||||||||||
|
|
Note that the configuration's mean density is,
|
|
|
|
||
|
|
|
|
||
|
|
|
|
||
|
|
|
|
||
Hence, the central-to-mean density of each equilibrium configuration is,
|
|
|
|
||
|
|
|
|
||
Yabushita75 Plot[edit]
Specify Desired Abscissa and Ordinate[edit]
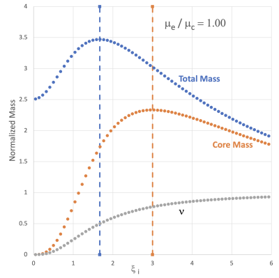
Here our desire is to generate a plot that is analogous to the one that appears as Fig. 1 (p. 445) of 📚 Yabushita (1975). We need to plot the core mass versus the central density, and the total mass versus central density where,
|
|
|
|
|
|
|
|
|
|
|
|
As a check against earlier derivations, note as well that,
|
|
|
|
|
|
|
|
|
Figure Caption: Analogous to Figure 1 in 📚 S. Yabushita (1975, MNRAS, Vol. 172, pp. 441 - 453), the burnt-orange colored curve shows how the core mass varies with and the blue curve shows how the configuration's total mass varies with . More specifically, given that , the blue curve is a plot of the function, , and the burnt-orange curve is a plot of the function, . |
Compare with Earlier Derivation[edit]
From our earlier derivation, we know that,
|
|
|
|
|
|
|
|
|
|
|
|
Also, our earlier derivation gave,
|
|
|
|
|
|
|
|
Hooray! These both match our "new normalization" derivation.
Locations of Extrema[edit]
Maximum Core Mass[edit]
Since the core mass is given by an analytic expression, we should be able to determine analytically at what location its maximum occurs. Specifically, given that,
|
|
|
|
| Pressure-truncated equilibrium polytropic sequences. |
the maximum occurs when the first derivative of the function goes to zero, that is,
|
|
|
|
|
|
|
|
|
|
|
|
|
|
|
|
|
|
|
|
|
|
|
|
|
|
|
|
The burnt-orange colored, vertical dashed line in the above figure has been placed at ; it intersects the point along the core-mass curve where the core mass is a maximum. In a separate discussion of pressure-truncated polytropic spheres, this has also been identified as the location of the maximum mass along equilibrium sequence. It is comforting to see that the same turning point arises whether or not an "envelope" has been added to the polytropic core.
Maximum Total Mass[edit]
Similarly we should be able to derive an analytic expression for the location along the bipolytropic sequence where the configuration's total mass acquires its maximum value. Drawing from our detailed discussion of the properties of various model parameters, we can write,
|
|
|
|
|
|
|
|
|
|
|
|
where,
|
|
|
|
and, |
|
|
|
Rewriting these terms gives,
|
|
|
|
|
|
|
|
|
|
|
|
and,
|
|
|
|
|
|
|
|
|
|
|
|
Hence,
|
|
|
|
|
|
|
|
|
|
|
|
|
|
|
|
|
|
|
|
|
|
|
|
| Maximum Total Mass a la 📚 Yabushita (1975) | |||||||||||||
| TERM1 | TERM2 | Error | LAWE | Implicit Scheme |
|||||||||
| 1.000 | 1.66846298 | 1.4989514 | -0.2961544 | 0.0335876 | -0.592299 | -0.1499536 | +0.1499536 | 3.4698691 | 1.6686460157 | 1.6639103365 | |||
Based on Pressure-Truncated n = 5 Polytrope[edit]
Chieze87 Normalization[edit]
In a subsection of our separate discussion of pressure-truncated polytropes, we highlighted the published work of J. P. Chieze (1987, A&A, 171, 225-232). It can readily be shown that his expressions for , , and — in our terminology, , , and — are identical to the expressions we presented above in the context of the n = 5 core of our bipolytrope. Specifically,

|
|
|
|
|
|
|
|
|
|
|
|
If we invert the third expression to determine how the central density depends on the core mass, then use this result to replace in the other two expressions, we find that,
|
|
|
|
|
|
|
|
This leads to panel (a) of Figure 3 from that discussion; also shown here, on the right.
Switch from Core Mass to Total Mass[edit]
Now with the bipolytropic model in mind, let's switch from the core mass to the total mass, drawing the following expression from above …
|
|
|
|
|
|
|
|
in which case,
|
|
|
|
|
|
|
|
See Also[edit]
- M. Gabriel & M. L. Roth (1974, A&A, Vol. 32, p. 309) … On the Secular Stability of Models with an Isothermal Core
- M. Gabriel & P. Ledoux (1967, Annales d'Astrophysique, Vol. 30, p. 975) … Sur la Stabilité Séculaire des Modeéles a Noyaux Isothermes
In § 1 (p. 442) of 📚 Yabushita (1975) we find the following reference: "A somewhat similar problem has been investigated by Gabriel & Ledoux (1967). Gaseous configurations with an isothermal core and polytropic envelope of index 3 were studied by 📚 Henrich & Chandrasekhar (1941) and by 📚 Schönberg & Chandrasekhar (1942). As is well known there is an upper limit (Schönberg-Chandrasekhar limit) to the mass of the core for the configurations to be in hydrostatic equilibria. Gabriel & Ledoux have investigated the stability of these configurations and have shown that secular stability is lost at the configuration that corresponds to the Schönberg-Chandrasekhar limit."
|
Appendices: | VisTrailsEquations | VisTrailsVariables | References | Ramblings | VisTrailsImages | myphys.lsu | ADS | |
