SSC/Structure/BiPolytropes/51RenormaizePart2

From JETohlineWiki
Jump to navigation Jump to search

Radial Oscillations in (nc,ne) = (5,1) Bipolytropes[edit]

Logically, this chapter extends the discussion — specifically the subsection titled, Try Again — found in the "Ramblings" chapter in which we introduced a total-mass-based renormalization of models along sequences of (nc,ne)=(5,1) bipolytropes.

Building Each Model[edit]

Basic Equilibrium Structure[edit]

Most of the details underpinning the following summary relations can be found here.

New Normalization
ρ~ ρ[(KcG)3/21Mtot]5;
P~ P[Kc10G9Mtot6];
r~ r[(KcG)5/2Mtot2],
M~r MrMtot;
H~ H[Kc5/2G3/2Mtot];
t~ t[Kc15G13Mtot10]1/4.

Note:  For an n = 5 polytrope (like our bipolytrope's core), the units of the polytropic constant, Kc, are [length13masstime10]1/5.

Quantity

Core
0ξξi


θ=[1+13ξ2]1/2
dθdξ=ξ3[1+13ξ2]3/2

Envelope
ηiηηs


ϕ=A[sin(ηB)η]
dϕdη=Aη2[sin(ηB)ηcos(ηB)]

r~

𝓂surf2(μeμc)4(32π)1/2ξ

𝓂surf2(μeμc)3θi2(2π)1/2η

ρ~

𝓂surf5(μeμc)10(1+13ξ2)5/2

𝓂surf5(μeμc)9θi5ϕ

P~

𝓂surf6(μeμc)12(1+13ξ2)3

𝓂surf6(μeμc)12θi6ϕ2

M~r

𝓂surf1(μeμc)2(23π)1/2[ξ3(1+13ξ2)3/2]

𝓂surf1θi1(2π)1/2(η2dϕdη)

Note that, for a given specification of the molecular-weight ratio, μe/μc, and the interface location, ξi,

θi = (1+13ξi2)1/2,
ηi = (μeμc)3θi2ξi,
Λi = ξi3[(μeμc)11θi2ξi21],
A = ηi(1+Λi2)1/2,
B = ηiπ2+tan1(Λi),
ηs = π+B=π2+ηi+tan1(Λi),

in which case,

𝓂surf = (2π)1/2Aηsθi,
ρ~c =

𝓂surf5(μeμc)10,

νMcoreMtot = (μeμc)23[ξi3θi4Aηs],
qrcoreR = (μeμc)3[ξiθi2ηs].

One of the Linearized Equations[edit]

From an accompanying discussion, the linearized "Euler + Poisson Equations" is,

P0ρ0dpdr0 =

(4x+p)g0+ω2r0x.

If we shift to our above-specified, new normalization and insert the relation, g0=GMr/r02, we have,

ω2[r0g0]x+(4x+p) =

{P0r0ρ0GMr}dpdlnr0

  =

P~[Kc10G9Mtot6]1r~[(KcG)5/2Mtot2]11ρ~[(KcG)3/21Mtot]5{1GMtotM~r}dpdlnξ

  =

P~[Kc10G9Mtot6]r~[Kc5/2G5/2Mtot2]1ρ~[Kc15/2G15/2Mtot5][G1Mtot1]M~r1dpdlnξ

  =

{P~r~ρ~1M~r1}dpdlnξ.

Throughout the core, then,

ω2[r0g0]x+(4x+p) =

𝓂surf6(μeμc)12(1+13ξ2)3{𝓂surf5(μeμc)10(1+13ξ2)5/2𝓂surf1(μeμc)2(23π)1/2[ξ3(1+13ξ2)3/2]}1[𝓂surf2(μeμc)4(32π)1/2ξ]dpdlnξ

  =

ξ2(1+13ξ2)3{(1+13ξ2)5/2[ξ3(1+13ξ2)3/2]}dpdlnξ

  =

12ξ2(1+13ξ2)dpdlnξ.

Let's relate this to the displacement functions summary, namely,

Summary …
xP = 3(n1)2n[1+(n3n1)(1ξθn)dθdξ],
dP = 3{1(n3)2[1θn+1(dθdξ)2]},
pP = (n+1n)dP.

From the structural solution for equilibrium, n=5 polytropes, we know that,

θ =

(1+ξ23)1/2

dθdξ =

ξ3(1+ξ23)3/2.

Therefore, for n=5 structures,

xP = 65[112(1ξθ5)ξ3(1+ξ23)3/2]
  = 65[116(1+ξ23)]
  = 1ξ215;
dP =

3+3(1+ξ23)3ξ29(1+ξ23)3

  = 3+ξ23;
pP = 185[1ξ29].

Hence, we find that,

ω2[r0g0]x =

12ξ(1+13ξ2)d(pP)dξ(4xP+pP)

  =

12ξ(1+13ξ2)4ξ54[1ξ215]+[185(1ξ29)]

  =

(1+13ξ2)254+4ξ215+1852ξ25

  =

(1+13ξ2)25252ξ215

  =

0.

For completeness, note that the LHS can be rewritten as,

ω2{r0g0}x =

ω2x{r03G1Mr1}

  =

ω2x{r~3[(KcG)5/2Mtot2]3G1[MtotM~r]1}

  =

ω2x[r~3M~r][Kc15/2G13/2Mtot5]

  =

ω2x[r~3M~r][Kc15G13Mtot10]1/2

  =

ω2x[Kc15G13Mtot10]1/2[𝓂surf2(μeμc)4(32π)1/2ξ]3{𝓂surf1(μeμc)2(23π)1/2[ξ3(1+13ξ2)3/2]}1

  =

ω2x[Kc15G13Mtot10]1/2[𝓂surf6(μeμc)12(32π)3/2ξ3]{𝓂surf(μeμc)2(π23)1/2[ξ3(1+13ξ2)3/2]}

  =

(34π)ω2x[Kc15G13Mtot10]1/2[𝓂surf5(μeμc)10](1+13ξ2)3/2.

Rescale for Bonnor-Ebert-Type Analysis[edit]

Let's rescale all these relations in such a way that the mass in the core remains constant along the sequence.

ρ*ρ~ν5 =

ρ[(KcG)3/21Mtot]5(McoreMtot)5;

P*P~ν6 =

P[Kc10G9Mtot6](McoreMtot)6;

r*r~ν2 =

r[(KcG)5/2Mtot2](McoreMtot)2;

M*M~rν1 = MrMtot(McoreMtot)1;
H*H~ν =

H[Kc5/2G3/2Mtot](McoreMtot);

t*t~ν5/2 t[Kc15G13Mtot10]1/4(McoreMtot)5/2.

Additional Relations[edit]

Core[edit]

The analytically prescribed radial pressure gradient in the core can be obtained as follows.

dM~rdξ =

𝓂surf1(μeμc)2(23π)1/2{3ξ2(1+13ξ2)3/2ξ4(1+13ξ2)5/2}

  =

𝓂surf1(μeμc)2(23π)1/2{3ξ2(1+13ξ2)ξ4}(1+13ξ2)5/2

  =

𝓂surf1(μeμc)2(23π)1/2{3ξ2(1+13ξ2)5/2}

dξdM~r =

𝓂surf(μeμc)2(π23)1/2{13ξ2(1+13ξ2)5/2}.

Also,

dP~dξ =

𝓂surf6(μeμc)12{2ξ(1+13ξ2)4}

Hence,

dP~dM~r =

𝓂surf6(μeμc)12{2ξ(1+13ξ2)4}𝓂surf(μeμc)2(π23)1/2{13ξ2(1+13ξ2)5/2}

  =

𝓂surf7(μeμc)14(2π33)1/21ξ(1+13ξ2)3/2.

For comparison, in hydrostatic balance we expect …

dPdMr=dPdrdrdMr

=

GMrρr214πr2ρ=GMr4πr4

dP~dM~r=[dPdMr][Kc10G9Mtot6]Mtot

=

GMr4πr4[Kc10G9Mtot7]

 

=

M~r4πr4[Kc10G10Mtot8]

 

=

M~r4πr~4

 

=

14π𝓂surf1(μeμc)2(23π)1/2[ξ3(1+13ξ2)3/2]{𝓂surf2(μeμc)4(32π)1/2ξ}4

 

=

{𝓂surf7(μeμc)14(22π232)}14π(23π)1/2[1ξ(1+13ξ2)3/2]

 

=

{𝓂surf7(μeμc)14}(2π33)1/2[1ξ(1+13ξ2)3/2].

This matches our earlier expression, as it should.

Takeaway Expression

dP~dM~r

=

M~r4πr~4

Envelope[edit]

Given that, for the envelope,

M~r

=

𝓂surf1θi1(2π)1/2A[sin(ηB)ηcos(ηB)],      and,

r~

=

𝓂surf2(μeμc)3θi2(2π)1/2η,

we deduce that,

dP~dM~r=M~r4πr~4

=

(14π)𝓂surf1θi1(2π)1/2A[ηcos(ηB)sin(ηB)][𝓂surf2(μeμc)3θi2(2π)1/2η]4

 

=

(124π22π24π4)1/2𝓂surf7θi7A[ηcos(ηB)sin(ηB)][(μeμc)12η4]

 

=

(2π)1/2𝓂surf7θi7(μeμc)12Aη4[ηcos(ηB)sin(ηB)]

As a cross-check …

dP~dη

=

𝓂surf6(μeμc)12θi6[2ϕdϕdη]

 

=

2𝓂surf6(μeμc)12θi6A2η3[ηcos(ηB)sin(ηB)]sin(ηB),

and,

dM~rdη

=

A𝓂surf1θi1(2π)1/2ddη[sin(ηB)ηcos(ηB)]

 

=

A𝓂surf1θi1(2π)1/2{ηsin(ηB)}.

That is,

dP~dM~r

=

2𝓂surf6(μeμc)12θi6A2η3[ηcos(ηB)sin(ηB)]sin(ηB){A𝓂surf1θi1(2π)1/2[ηsin(ηB)]}1

 

=

(2π)1/2𝓂surf7(μeμc)12θi7Aη4[ηcos(ηB)sin(ηB)].

Correct!

Time-Dependent Euler Equation[edit]

We begin with the form of the,

Euler Equation

dvrdt=1ρdPdrdΦdr

that is broadly relevant to studies of radial oscillations in spherically symmetric configurations. Recognizing from, for example, a related discussion that, vr=dr/dt, and that,

dΦdr = GMrr2

we obtain our

Desired Form of the Euler Equation

d2rdt2 = 1ρdPdrGMrr2.

Given as well that,

dMrdr=4πr2ρ

we see that,

dMr4πr2 = ρdr
d2rdt2 = 4πr2dPdMrGMrr2
14πr2d2rdt2 = dPdMrGMr4πr4.

Next, if as above, we multiply through by [Kc10G9Mtot7], we obtain the relevant,

Normalized Euler Equation

14πr~2d2r~dt~2 = dP~dM~rM~r4πr~4,

where, as a reminder, the dimensionless time is,

t~ t[Kc15G13Mtot10]1/4.


CAUTION!   Regarding Our Chosen Lagrangian Fluid Marker

If we were to use r~ as our primary Lagrangian fluid marker, we would be in a position to analytically specify the function, M~r(r~). Here, however, we will call upon M~r rather than r~ to serve as the primary Lagrangian fluid marker because mass facilitates our efforts to highlight a variety of important physical properties of bipolytropic configurations. We will therefore need to specify the function, r~(M~r) instead of M~r(r~). For the core, this choice does not introduce any particularly difficult computational challenges because we can invert the M~r(r~) relationship analytically to obtain …

ξ2 =

3[3(cmM~r)2/31]1,

where,

cm

msurf1(μeμc)2(23π)1/2.

This is not the case for the envelope, however; we will not be able to analytically specify r~(M~r). This is unfortunate, as a numerical (rather than analytic) specification will necessarily introduce additional errors into our solution of the displacement function — which already is a small and error-prone quantity. We will nevertheless proceed along this line.

Example Models Along BiPolytrope Sequence 0.3100[edit]

For the case of (nc,ne)=(5,1) and μe/μc=0.3100, we consider here the examination of models with three relatively significant values of the core/envelope interface:

  • Model D (ξi,ρ¯/ρc,q,ν)(2.06061,1.1931E+02,0.16296,0.13754): Approximate location along the sequence of the model with the maximum fractional core radius.
  • Model C (ξi,ρ¯/ρc,q,ν)(2.69697,3.0676E+02,0.15819,0.19161): Approximate location along the sequence of the onset of fundamental-mode instability.
  • Model A (ξi,ρ¯/ρc,q,ν)(9.0149598,1.1664E+06,0.075502255,0.337217006): Exact location along the sequence of the model with the maximum fractional core mass.

Model C Finite-Difference Representation[edit]

Here we examine a discrete representation of a model along the μe/μc=0.31 sequence whose core/envelope interface is located at ξi=2.69697; whose core mass-fraction is ν=0.19161; and for which, msurf=2.145465292.

Treatment of the Core[edit]

Table C1
Equilibrium Structure of Model C

STEP1:    Divide the core into (Nc+1) grid lines — that is, into Nc radial zones — associating the first "grid line" with the center of the core and the last grid line with the radial location of the core/envelope interface; in Table C1, we have set Nc=20. Choosing 0M~rν as the principal Lagrangian coordinate, and using the available analytic expressions, assign values to the following physical quantities at each grid line:

  • Mass (see column titled tilde M_r in Table C1):     Set (Δm)c=ν/(Nc); then, for n=1thru(Nc+1), set M~r=(n1)(Δm)c.
  • Polytropic radial coordinate (see column titled xi from M_r in Table C1):     Given that, cm=msurf1(μe/μc)2(6/π)1/2=0.0619017, determine the value of ξ associated with each gridline's value of M~r from the expression,
    ξ =

    31/2[3(cmM~r)2/31]1/2.

    For example, at the 21st gridline (associated with the core/envelope interface), this expression gives the expected, ξi=2.69697.

  • Given the value of ξ at each gridline, determine the associated values of r~,ρ~,P~ — see the columns in Table C1 titled tilde r, tilde rho, tilde P — using the appropriate analytic expressions for the Core as provided above. For example, at the 21st gridline (associated with the core/envelope interface), we find, r~=0.003739, ρ~=2.5555×105, and P~=3.0830×106.

STEP2:    Building upon the results of STEP1, determine the value of M~r/(4πr~4) at each gridline in the (initially) equilibrium model; see the column of Table C1 titled M/(r pi r^4).

  • As stated in the above Takeaway Expression, this will simultaneously provide a precise evaluation of the pressure gradient, dP~/dM~r, at each gridline when the configuration is in equilibrium.
  • After a perturbation is introduced into the (initially equilibrium) configuration, both the pressure gradient and the quantity, M~r/(4πr~4), will deviate from their equilibrium values and, quite generally, from each other. (Actually, M~r will not vary because, by definition, it is our time-invariant Lagrangian fluid marker; but the pressure gradient and the denominator of the second term, 4πr~4, will vary.) Then, as expressed by the above Normalized Euler Equation, the sum of these two perturbed quantities will dictate the strength and direction of the unbalanced acceleration that will be felt by the Lagrangian fluid element at each gridline.

STEP3:    Our discrete representation of Model C will be constructed in such a way as to preserve, at each gridline location, the analytically determined values of the Lagrangian marker, M~r, and the corresponding value of (the initial) r~. In doing so, we must expect that our discrete evaluation of ρ~ and P~ will differ from values determined in the continuum model. We choose to adopt the following paths toward evaluation of these two scalar quantities:

  • Given that, in STEP1, we established a grid on which the M~r spacing between gridlines is uniform, we choose here to evaluate P~ midway between gridlines and to evaluate the pressure gradient via the (2nd-order accurate) expression,
    [dP~dM~r]n

    P~n+1/2P~n1/2(Δm)c.

    Note that the difference between the pair of discrete mid-zone values of the pressure that appears in the numerator of the term on the right-hand-side of this expression straddles the discrete grid in such a way that the left-hand-side pressure gradient is centered on the nth gridline. This is as desired because the pressure gradient should be compared with M~r/(4πr~4), which is also evaluated on each gridline.

  • We will also evaluate ρ~ midway between gridlines. Then, at the center of each core grid zone, we can use the exact relationship between the normalized pressure and normalized density — namely,
    P~n+1/2

    [ρ~n+1/2]6/5,

    to determine P~n+1/2 from ρ~n+1/2 or, after inversion, to determine ρ~n+1/2 from P~n+1/2 for all 1nNc.

STEP4:    By design, the mass contained within every spherical shell of our discrete model is (Δm)c and — even after a perturbation is introduced — for all 1nNc, the differential volume of the various shells is,

(ΔVol)n+1/2 =

4π3[r~n+13r~n3].

In an effort to satisfy the continuity equation, throughout our discrete model we will relate the gas density of each spherical shell to the bounding radii of that shell via the expression,

ρn+1/2=(Δm)c(ΔVol)n+1/2 =

3(Δm)c4π[r~n+13r~n3]1.

ASIDE

Unperturbed …

3(Δm)c4πρn+1/2 =

[r~n+13r~n3]

  =

[r~n+1/2+Δr~2]3[r~n+1/2Δr~2]3

  =

r~n+1/23{[1+Δr~2r~n+1/2]3[1Δr~2r~n+1/2]3}

 

r~n+1/23{[1+3Δr~2r~n+1/2][13Δr~2r~n+1/2]}

  =

3Δr~r~n+1/22.




Perturbed …

1ρ~0[1+δρ~ρ~0]13(Δm)c4π =

r~n+13[1+(δr~r~)n+1]3r~n3[1+(δr~r~)n]3

1ρ~0[1δρ~ρ~0]3(Δm)c4π

r~n+13[1+3(δr~r~)n+1]r~n3[1+3(δr~r~)n]

1ρ~03(Δm)c4π1ρ~0[δρ~ρ~0]3(Δm)c4π

r~n+13+r~n+13[3(δr~r~)n+1]r~n3r~n3[3(δr~r~)n]

1ρ~0[δρ~ρ~0](Δm)c4π

r~n+13[(δr~r~)n+1]r~n3[(δr~r~)n]

[δρ~ρ~0]

4πρ~0(Δm)c{r~n+13[(δr~r~)n+1]r~n3[(δr~r~)n]}

 

4πρ~0(Δm)c{r~n+1/23[1+Δr~2r~n+1/2]3(δr~r~)n+1r~n+1/23[1Δr~2r~n+1/2]3(δr~r~)n}

 

4πρ~0(Δm)c{r~n+1/23[1+3Δr~2r~n+1/2](δr~r~)n+1r~n+1/23[13Δr~2r~n+1/2](δr~r~)n}

 

4πρ~0(Δm)c{r~n+1/23(δr~r~)n+1+r~n+1/23[3Δr~2r~n+1/2](δr~r~)n+1r~n+1/23(δr~r~)n+r~n+1/23[3Δr~2r~n+1/2](δr~r~)n}

 

4πρ~0(Δm)c{r~n+1/23(δr~r~)n+1r~n+1/23(δr~r~)n+r~n+1/23[3Δr~2r~n+1/2][(δr~r~)n+1+(δr~r~)n]}

 

4πρ~0r~n+1/23(Δm)c{(δr~r~)n+1(δr~r~)n}+4πρ~0(Δm)c[3Δr~r~n+1/22][(δr~r~)n+1+(δr~r~)n]12.


Combined …

3(Δm)c4πρn+1/2 =

3Δr~r~n+1/22

[δρ~ρ~0]

4πρ~0r~n+1/23(Δm)c{(δr~r~)n+1(δr~r~)n}+3[(δr~r~)n+1+(δr~r~)n]12

4πρ~0r~n+1/23(Δm)c{(δr~r~)n+1(δr~r~)n}

3[(δr~r~)n+1+(δr~r~)n]12[δρ~ρ~0].

This should be compared with the more traditional derivation of the linearized continuity equation, which gives,

4πρ0r03dxdm

3xd.


  • Values of the normalized density computed in this manner have been recorded in the column titled rho_FD of Table C1; the subscript "FD" stands for "Finite Difference". For example, in the shell just before the core/envelope interface (n=20), we find ρ~n+1/2=2.8168×105.
  • We have determined the value of the normalized pressure that corresponds to each of these "Finite Difference" values of the density using the algebraic relation presented above in STEP3; their values have been recorded in the column titled P_FD of Table C1. For example, in the shell just before the core/envelope interface (n=20), we find P~n+1/2=[ρ~n+1/2]6/5=3.4651×106.
  • From our determination of P~n+1/2 throughout the core, values of the normalized pressure gradient have been computed in the manner described above in STEP3:, and have been recorded in the column titled (dP/dM)_FD of Table C1. For example, at the n=20 gridline, we find [dP~/dM~r]n=9.281×107.


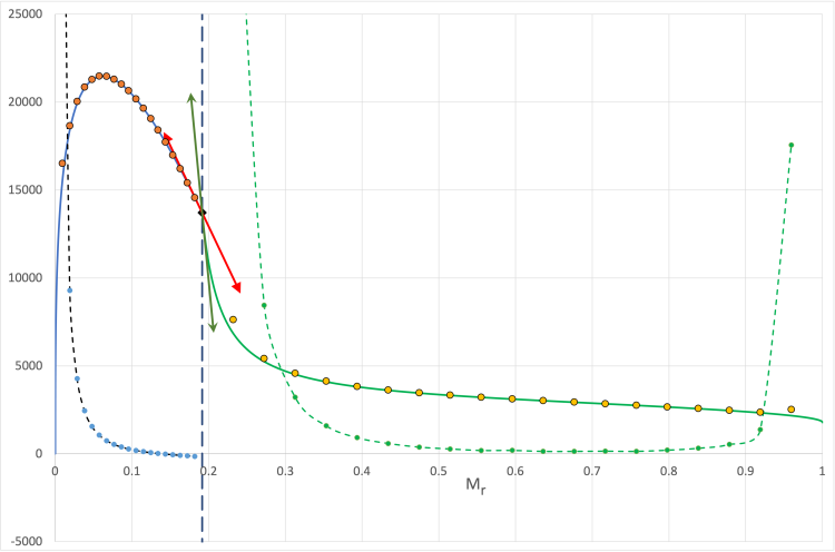
STEP5:    Throughout the core, compare evaluation of the finite-difference representation of the (absolute value of the) pressure gradient to an evaluation of the unperturbed and analytically prescribed profile of the quantity, M~r/(4πr~4). The left-hand segment of Figure C1 provides such a comparison; actually, for reasons that will become clear later, we have multiplied both quantities by 4πr~2 before plotting.

Figure C1
Finite-Difference Structure of Model C

The smooth, solid curves (blue for the core and green for the envelope) show the analytically prescribed behavior of the quantity, M~r/r~2 as a function of M~r throughout the unperturbed Model C. The solid, circular markers (colored dark orange throughout the core and light orange across the envelope) identify how our finite-difference representation of the pressure gradient — more specifically, the quantity, (4πr~2)|dP~/dM~r|n — varies with M~r throughout the equilibrium configuration. We use the difference between these two quantities as a measure of the error introduced by our specified finite-difference representation of the equilibrium model. For example, the small solid dots and accompanying (interpolated) dashed curve that appear in Figure C1 (blue for the core and green for the envelope) show how,

error

amp×{M~rr~2(4πr~2)|dP~dM~r|n},

varies with mass shell throughout the equilibrium model, after setting amp=50; this data has been recorded in the column titled "Alternate_FD error" in Table C1.

Behavior at the Interface[edit]

It is worth pointing out that the second derivative of the pressure (with respect to M~r) exhibits a discontinuous jump at the interface. Specifically,

The smooth, solid curves in Figure C1 (blue for the core and green for the envelope) show the analytically prescribed behavior of the quantity, M~r/r~2 as a function of M~r throughout the unperturbed Model C. These curves intersect at the core/envelope interface (marked by the vertical, black dashed line), which means that the quantity, M~r/r~2 has the same value whether viewed from the perspective of the core or from the perspective of the envelope. But, as the figure illustrates, the curves exhibit different slopes at the interface.

Quite generally we can write,

ddM~r[M~rr~2]

=

1r~22M~rr~3dr~dM~r=1r~2{12dlnr~dlnM~r}.

This means that, for the core,

ddM~r[M~rr~2]

=

1r~22M~rr~3[dξdM~rdr~dξ]

 

=

1r~22M~rr~3[𝓂surf(μeμc)2(π23)1/2{13ξ2(1+13ξ2)5/2}][𝓂surf2(μeμc)4(32π)1/2]

 

=

1r~2{12M~r[𝓂surf(μeμc)2(π23)1/213ξ3(1+13ξ2)5/2]}

 

=

1r~2[123(1+13ξ2)]

 

=

13r~2(123ξ2).

Specifically at the interface (from the perspective of the core),

{ddM~r[M~rr~2]}i,core

=

13r~i2(123ξi2).


And for the envelope,

ddM~r[M~rr~2]

=

1r~22M~rr~3[dηdM~rdr~dη]

 

=

1r~22M~rr~3[A𝓂surf1θi1(2π)1/2{ηsin(ηB)}]1[𝓂surf2(μeμc)3θi2(2π)1/2]

 

=

1r~2{12M~rη[A𝓂surf1θi1(2π)1/2ηsin(ηB)]1}

 

=

1r~2{12η2[1ηcot(ηB)]}.

Now, pulling from our original derivation, we appreciate that,

ηicot(ηiB)

=

ηiΛi

 

=

[(μeμc)3θi2ξi]ξi3[(μeμc)11θi2ξi21]

 

=

[1θi2ξi2(μeμc)]

Hence, at the interface (from the perspective of the envelope) we find,

{ddM~r[M~rr~2]}i,env

=

1r~i2{12ηi2[1ηicot(ηiB)]}

 

=

1r~i2{12ηi2[θi2ξi2(μeμc)]}

 

=

1r~i2{12[(μeμc)3θi2ξi]2[θi2ξi2(μeμc)]}

 

=

1r~i2{123(μeμc)1(1+13ξi2)}.


Figure C2
Model C Slopes at Interface

A pair of line-segments with arrowheads has been added to Figure C1:

  • The red arrow is tangent to the solid blue curve at the core/envelope interface; its slope is,

    {ddM~r[M~rr~2]}i,core

    =

    13r~i2(123ξi2)=9.177751×104.

  • The green arrow is tangent to the solid green curve at the core/envelope interface; its slope is,

    {ddM~r[M~rr~2]}i,env

    =

    1r~i2{123(μeμc)1(1+13ξi2)}=4.552725×105.

They illustrate that the slope of the function, M~r/r~2, has a discontinuous jump at the interface. Given that,

dP~dM~r = M~rr~2,

in the Model C equilibrium configuration, this also illustrates that this bipolytropic model has a discontinuous jump in the second-derivative of the pressure (with respect to M~r) at the core/envelope interface.


Note that this discontinuity will disappear in a model for which the two slopes have the same value, that is, when,

13(123ξi2)

=

{123(μeμc)1(1+13ξi2)}

123ξi2

=

32(μeμc)1(1+13ξi2)

ξi2

=

3(μeμc)1+(μeμc)1ξi2

(μeμc)ξi2

=

3+ξi2

(μeμc1)ξi2

=

3.

This will never occur in this bipolytropic model.

Evaluation of the Logarithmic Derivative
dlnr~/dlnM~r

At the beginning of this subsection, we demonstrated that, quite generally,

ddM~r[M~rr~2]

=

1r~2{12dlnr~dlnM~r}.

It is therefore the case that, at the interface and from the perspective of the core,

{dlnr~dlnM~r}i,core

=

13(1+ξi23);

while, at the interface but from the perspective of the envelope,

{dlnr~dlnM~r}i,env

=

13(1+ξi23)(μeμc)1.

Treatment of the Envelope[edit]

Table C2
Equilibrium Structure of Model C Envelope

STEP11:    Divide the envelope into (Ne+1) grid lines — that is, into Ne radial zones — associating the first "grid line" with the location of the core/envelope interface and the last grid line with the radial location of the surface of the bipolytropic configuration; in Table C2, we have set Ne=20. Choosing νM~r1 as the principal Lagrangian coordinate, and using the available analytic expressions, assign values to the following physical quantities at each grid line:

  • Mass (see 1st column titled tilde M_r in Table C2):     Set (Δm)e=(1ν)/(Ne); then, for n=1thru(Ne+1), set M~r=ν+(n1)(Δm)e.
  • First and last polytropic radial coordinates: In the above summary of various physical variable profiles, we have provided expressions for the envelope's polytropic radial coordinate at the core/envelope interface (ηi) and at the surface (ηs). Evaluating these expressions for Model C, we find,
    ηi = (μeμc)3ξi(1+13ξi2)1=0.42286,
    ηs = π2+ηi+tan1{ξi3[(μeμc)11ξi2(1+13ξi2)1]}=2.67311,

    These two values appear, respectively, as the first and last numbers in the (2nd) column of Table C2, titled eta_guess.

  • All other polytropic radial coordinates (see the "Ne1" numerical values that are highlighted in yellow in the column titled eta_guess in Table C2):     Next, we need to determine what value of η is associated with each Lagrangian fluid marker (i.e., each gridline) that lies between the interface and the surface. Referring again to the above summary of various physical variable profiles, we can determine analytically the value of M~r that is associated with any selected value of η, via the relation,

    M~r(η)

    =

    𝓂surf1θi1(2π)1/2A[sin(ηB)ηcos(ηB)],

    but what we really need is to invert this relation to obtain η(M~r). Unfortunately, unlike our experience with the core, for which we were able to invert the M~r(ξ) relation to obtain an analytic prescription for ξ(M~r) — see STEP1 above — here, we are unable to analytically invert our M~r(η) expression.

    Instead, for each gridline we guessed the value of η which, when plugged into the M~r(η) expression, would give the value of M~r that was already assigned to that gridline; by trial-and-error, we revised our guess for η until the desired value of the normalized mass (see the column titled tilde M_r) was obtained (usually, to 6 or 7 digit accuracy). Table C2 provides the following record: At each gridline, our final/best iterative "guess" for η is highlighted in yellow in the (2nd) column titled eta_guess; the value of M~r that is obtained by plugging this "best guess" value of η into the M~r(η) relation is recorded in the (3rd) column titled M_r from eta; and the (4th) column titled error shows the fractional difference between this value and the desired value — as was our goal, all measured errors are zero, to at least six significant digits.

  • Given the "best guess" value of η at each gridline, determine the associated values of r~(η),ρ~(η),P~(η) — see the (5th, 6th, and 7th) columns in Table C2 titled tilde r, tilde rho, tilde P — using the appropriate analytic expressions for the Envelope as provided above. For example, at the 20th gridline (associated with the first gridline just inside the surface) where our "best guess" is η=2.3765850, we find, r~=0.021014, ρ~=5.29458×103, and P~=1.37706×104.


STEP12:    As was done above, in STEP2, for the core, determine here for the envelope the value of M~r/(4πr~4) at each gridline in the (initially) equilibrium model; see the (8th) column of Table C2 titled M/(r pi r^4).


STEP13:    As was done in STEP3 for the core — but, here, for the envelope — we choose to evaluate P~ midway between gridlines and to evaluate the pressure gradient via the (2nd-order accurate) expression,

[dP~dM~r]n

P~n+1/2P~n1/2(Δm)e.

Notice that the denominator on the right-hand-side of this expression is (Δm)e (for the envelope) rather than (Δm)c (for the core). And, as with our treatment of the core, the difference between the pair of discrete mid-zone values of the pressure that appears in the numerator of this right-hand-side term straddles the discrete grid in such a way that the left-hand-side pressure gradient is centered on the nth gridline.

At the center of each envelope grid zone, we can use the exact relationship between the normalized pressure and normalized density — namely,

P~n+1/2[ρ~n+1/2]2 =

𝓂surf6(μeμc)12θi6ϕ2{𝓂surf5(μeμc)9θi5ϕ}2

  =

(μeμc)6(𝓂surfθi)4

P~n+1/2 =

(μeμc)6(𝓂surfθi)4[ρ~n+1/2]2

— to determine P~n+1/2 from ρ~n+1/2 or, after inversion, to determine ρ~n+1/2 from P~n+1/2 for all 1nNe.

STEP14:    Akin to our treatment of the core (STEP4), the mass contained within every spherical shell of our discrete model of the envelope is (Δm)e and, in an effort to satisfy the continuity equation, throughout our discrete model we will relate the gas density of each spherical shell to the bounding radii of that shell via the expression,

ρn+1/2=(Δm)e(ΔVol)n+1/2 =

3(Δm)e4π[r~n+13r~n3]1.

  • Values of the normalized density computed in this manner have been recorded in the (9th) column titled rho_FD of Table C2. For example, in the first shell just inside the surface (n=20), we find ρ~n+1/2=2.458565×103.
  • We have determined the value of the normalized pressure that corresponds to each of these "Finite Difference" values of the density using the algebraic relation presented just above; their values have been recorded in the (10th) column titled P_FD of Table C2. For example, in the first shell just inside the surface (n=20), we find P~n+1/2=4.91237×104[ρ~n+1/2]2=2.96930×103.
  • From our determination of P~n+1/2 throughout the envelope, values of the normalized pressure gradient have been computed in the manner described above in STEP13, and have been recorded in the (11th) column titled (dP/dM)_FD of Table C2. For example, at the n=20 gridline, we find [dP~/dM~r]n=4.549×105.


STEP15:    Throughout the envelope, compare evaluation of the finite-difference representation of the (absolute value of the) pressure gradient to an evaluation of the unperturbed and analytically prescribed profile of the quantity, M~r/(4πr~4). The right-hand segment of Figure C1 provides such a comparison; actually, for reasons that will become clear later, we have multiplied both quantities by 4πr~2 before plotting.


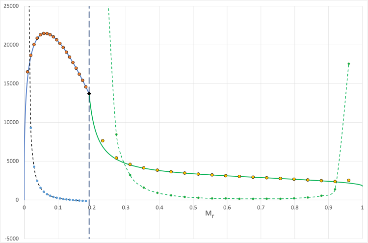
Figure C3
Finite-Difference Structure of Model C with 41 gridlines

Same as Figure C2, except higher resolution with Ne=Nc=40.

varies with mass shell throughout the equilibrium model, after setting amp=50; this data has been recorded in the column titled "Alternate_FD error" in Table C1.

Model C Perturbations[edit]

Moving from the Center, Outward through the Core[edit]

  1. Remembering that the "gridline" with n = 1 is at the center of the configuration, specify value of (δr)n at n = 2.
  2. Determine (δρ)1.5, which is the first radial zone.
  3. Determine (δP)1.5 from the core's equation of state.
  4. Evaluate the pressure gradient at n = 2 by calculating M~r/(4πr~4), appreciating that r~2=(r0+δr)2.
  5. Knowing the pressure gradient at the n = 2 gridline, and the perturbed pressure at n = 1.5, determine (δP)2.5.
  6. Determine (δρ)2.5 from the core's equation of state.
  7. Knowing (δρ)2.5 and (δr)n at n = 2, determine (δr)n at n = 3.
  8. Evaluate the pressure gradient at n = 3 by calculating M~r/(4πr~4), appreciating that r~3=(r0+δr)3.
  9. Knowing the pressure gradient at the n = 3 gridline, and the perturbed pressure at n = 2.5, determine (δP)3.5.

Repeat from #6 … until we've determined (δr)n at n = 21, that is, the perturbation at the core/envelope interface. Also, go ahead and evaluate the perturbed pressure gradient at the interface; ultimately we need this pressure gradient (as viewed from the perspective of the core) to match the pressure gradient as viewed from then perspective of the envelope.

See Also[edit]

Tiled Menu

Appendices: | VisTrailsEquations | VisTrailsVariables | References | Ramblings | VisTrailsImages | myphys.lsu | ADS |