Appendix/Ramblings/MacSphCriticalPoints
Critical Points along the Maclaurin Spheroid Sequence[edit]
| Maclaurin Spheroid Sequence |
|---|
The thoughts and recommendations that are presented in this chapter stem from collaborative discussions with Howard Cohl and associated colleagues.
Introduction[edit]
As has been explained in, for example, our accompanying discussion of Riemann S-type ellipsoids, the "EFE Diagram" refers to a two-dimensional parameter space defined by the pair of axis ratios (b/a, c/a), usually covering the ranges, 0 ≤ b/a ≤ 1 and 0 ≤ c/a ≤ 1. The classic/original version of this diagram appears as Figure 2 on p. 902 of 📚 Chandrasekhar (1965; XXV); a somewhat less cluttered version appears on p. 147 of Chandrasekhar's [EFE].
The version of the EFE Diagram shown in the left-hand panel of the following figure, highlights …
- The Maclaurin spheroid sequence — the vertical line that runs from (a nonrotating, sphere) to (an infinitesimally thin disk), aligning with the right-hand boundary of the Diagram;
- The Jacobi ellipsoid sequence — the curve running through the purple circular markers that connects the origin of the diagram to the point where it intersects (and bifurcates from) the Maclaurin spheroid sequence.
- The pair of self-adjoint sequences (USA and LSA) as discussed in detail above — the black dot-dashed curves that run from the origin of the diagram to points identified by yellow circular markers where they intersect the Maclaurin spheroid sequence: at, respectively, for the USA and for the LSA.
To aid subsequent discussion, in this EFE diagram we have broken the Maclaurin spheroid sequence into three differently colored segments: Blue extends from the nonrotating sphere (point of USA intersection) to the point where the Jacobi ellipsoid sequence intersects; Orange extends from the Jacobi intersection point to the point of LSA intersection; and Black extends from the LSA intersection to the end of the Maclaurin sequence (the infinitesimally thin disk).
|
EFE Diagram |
Ω2 vs. j2 Diagram |
Now, as we consider examining the stability of individual models — or the behavior of equilibrium model sequences — whose configurations are not constrained to have purely ellipsoidal shapes, the two-dimensional parameter space associated with the EFE diagram proves to be of little use. In Figures 1 through 6 of an accompanying overview, we show how the Maclaurin spheroid sequence behaves when displayed in six alternate 2D-parameter-space diagrams that have been proposed/used — to varying degrees of success — by various research groups over the years. Following the extensive set of related work published by Eriguchi, Hachisu and their collaborators over the decade of the 1980s, here we adopt the Ω2 versus j2 diagram as displayed in the right-hand panel of the above figure, where, .
The blue, orange, and black segments of the (vertical straight line) Maclaurin spheroid sequence that have been highlighted in our version of the EFE diagram map respectively to the blue, orange, and black segments of the (curved, double-valued) Maclaurin spheroid sequence that appears in our version of the Ω2 versus j2 diagram. Also shown (purple circular markers) is the Jacobi ellipsoid sequence, along with its intersection with the Maclaurin spheroid sequence; and (see the yellow circular markers) the points where the USA and LSA sequences intersect the Maclaurin sequence. As an additional reference point, in the diagram on the right, the small green square marker identifies the point along the Maclaurin spheroid sequence where Ω2 attains its maximum value — ; in our EFE diagram, a green square marker identifies this same Maclaurin spheroid — .
Model01[edit]
| Model | ||||||
| 01 | ||||||
|
Model01 is a Maclaurin spheroid for which . This specific model has been chosen because …
|
||||||
For this chosen value of , we appreciate that the eccentricity is,
|
|
in which case,
|
|
Hence, from our accompanying discussion of the Maclaurin spheroid sequence,
|
|
|
|
|
|
|
|
|
|
|
|
|
|
|
|
The corresponding total angular momentum is,
|
|
|
|
where,
|
|
|
|
|
|
|
|
|
|
|
|
|
|
|
|
|
|
|
|
|
|
|
|
|
|
|
|
Hence,
|
|
|
|
|
|
|
|
|
|
|
|
Finally, the ratio of rotational to gravitational potential energy is,
|
|
|
|
|
|
|
|
Model04[edit]
| Model | |||||
| 04 |
Here we examine a Maclaurin spheroid for which , and,
|
|
For this chosen value of , we appreciate that the eccentricity is,
|
|
and from our accompanying examples of analytic functions for selected trigonometric functions we appreciate that, for this value of the eccentricity,
|
|
||
|
|
Hence, from our accompanying discussion of the Maclaurin spheroid sequence,
|
|
|
|
|
|
|
|
|
|
|
|
|
|
|
|
where,
|
|
|
|
Potentially Interesting Models[edit]
Handy Maclaurin Spheroid Formulae[edit]
Drawing principally from an accompanying discussion of equilibrium models along the Maclaurin spheroid sequence, once a configuration's eccentricity, , is specified, we know the following:
|
|
|
|
|
|
|
|
|
|
|
|
|
|
|
|
|
|
|
|
|
|
|
|
First Ideas[edit]
|
First Ideas |
|
Selected Models Along the (Axisymmetric) Maclaurin Spheroid Sequence |
||||||
| NOTES | ||||||
| see Model01 above |
||||||
| see Model04 above |
||||||
Drawn From CKST95d[edit]
|
Drawn From CKST95d |
|
Selected Models Along the (Axisymmetric) Maclaurin Spheroid Sequence Similar to Table 1 (p. 502) in … |
|||||||||||||
| Bifurcating Sequence |
HE84 notation |
[T78]'s Energy Normalization | CKST95d's Normalization |
NOTES | |||||||||
| Jacobi | (a) | ||||||||||||
| Triangle | (b) | ||||||||||||
| Square | (c) | ||||||||||||
| Dyn. Unstable |
n/a | (d) | |||||||||||
| Dyn. Unstable |
n/a | (e) | |||||||||||
| Ammonite | (f) | ||||||||||||
| --- | (g) | ||||||||||||
| One-Ring | (h) | ||||||||||||
|
NOTES:
†Table B1 of 📚 Bardeen (1971) lists numerically determined values of , and a dimensionless measure of the squared angular momentum that is a factor of larger than our listed . |
|||||||||||||
Axisymmetric Equilibrium Sequences that Display a Topological Change[edit]
In the context of discussions of self-gravitating configurations that are rotating and have a uniform density, there are three well-known axisymmetric equilibrium sequences:
- The Maclaurin spheroid sequence — first constructed in 1742 by Maclaurin.
- A so-called one-ring (Dyson-Wong toroid) sequence — the ring-like segment was first mapped out in 1893 by Dyson
- A so-called Maclaurin toroid sequence — the toroidal segment was first constructed by 📚 Marcus, Press, & Teukolsky (1977).
Along the first of these sequences, every equilibrium configuration has a surface that is precisely a spheroid. The other two bifurcate from the Maclaurin spheroid sequence; contain a segment of concave, hamburger-shaped (spheroidal-like) configurations; and, upon further extension, blend into the (separately identified) sequence of toroidal-shaped configurations. In other words, moving along the respective model sequences, we encounter a spheroidal-like to ring-like topological change. The overriding question that requires nonlinear dynamical modeling to answer is: "Is there a model (or a range of models) along the Maclaurin spheroid sequence that is unstable toward evolution away from that sequence and toward one of the ring-like sequences?"
TWO KEY CONCEPTS:
- The model parameterization that distinguishes the two ring-like sequences from one another is the specified distribution of angular momentum. Dyson-Wong tori are uniformly rotating, whereas, each Maclaurin toroid has an angular momentum distribution that is the same as is present in all Maclaurin spheroids. It is this single structural feature that drives the bifurcation points for these sequences to two quite different locations along the Maclaurin spheroid sequence.
- The bifurcation points of both ring-like sequences arise at positions on the Maclaurin spheroid sequence where the models are expected to be violently unstable toward the development of nonaxisymmetric distortions. Hence, in order to study how unstable spheroids undergo a transition to a ring-like configuration (the topological change), a numerical code must be developed with the capability to suppress all nonaxisymmetric distortions. This can be accomplished, for example, by adopting a cylindrical coordinate representation of the fluid equations then performing two-dimensional rather than three-dimensional simulations.
One-Ring (Dyson-Wong) Sequence[edit]
It is important to remember — as emphasized above — that all equilibrium models along the one-ring (Dyson-Wong) sequence are uniformly rotating.
Background Storyline[edit]
- Over 125 years ago via a pair of detailed publications — 📚 F. W. Dyson (1893, Phil. Trans. Royal Soc. London. A., Vol. 184, pp. 43 - 95) and 📚 F. W. Dyson (1893, Phil. Trans. Royal Soc. London. A., Vol. 184, pp. 1041 - 1106) — Dyson demonstrated that a sequence of rapidly rotating, self-gravitating equilibrium models could be constructed that had a uniform density, were uniformly rotating, and had a toroidal (ring) shape. [Configurations that, in every respect except their shape, were like Maclaurin spheroids.] See our review and discussion of this work.
- 📚 C. -Y. Wong (1974, ApJ, Vol. 190, pp. 675 - 694) tackled this same problem, improving on, and extending Dyson's work. As a consequence, this sequence of models is often referred to as "Dyson-Wong tori." See our detailed review and discussion.
- Motivated by the work of 📚 T. Fukushima, Y. Eriguchi, D. Sugimoto, & G. S. Bisnovatyi-Kogan (1980, Prog. Theor. Phys., Vol. 63, No. 6, pp. 1957 - 1970), 📚 Y. Eriguchi & D. Sugimoto (1981, Prog. Theor. Phys., Vol. 65, No. 6, pp. 1870 - 1875) demonstrated that the Dyson-Wong toroidal sequence can be "smoothly connected" to the Maclaurin spheroid sequence via an intermediate branch of models having a … concave hamburger-like shape of equilibrium …"
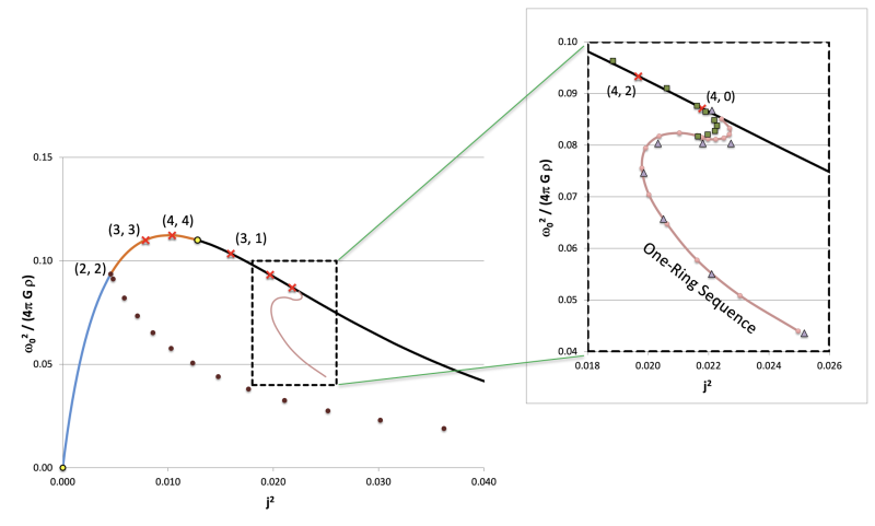
- Table I of 📚 Eriguchi & Sugimoto (1981) provides quantitative data describing the properties of eighteen models that lie along this combined "one-ring" sequence, such as: and . We have copied the values of two of these parameters from their Table I into the first two (pink) columns of our table, immediately below.
- This data has been used to generate the pink-colored one-ring sequence shown in our plot, below; see especially the plot inset. Over the years, the same set of data has been used to display the behavior of the one-ring sequence in numerous publications; see, for example, the reproduction of Figure 1 (p. 488) from 📚 Christodoulou, Kazanas, Shlosman, & Tohline (1995b) that we have presented, below.
- Figure 2 of 📚 Eriguchi & Sugimoto (1981) displays meridional-plane cross-sections through five of their eighteen models in an effort to illustrate how the surface geometry smoothly changes along the complete sequence: from spheroid, to "hamburger" shape, to torus.
- 📚 Eriguchi & Sugimoto (1981) claim that the one-ring sequence bifurcates from the Maclaurin sequence precisely at the point where the spheroid has an eccentricity, — in which case, also, and . In support of this conjecture, they point out that, Chandrasekhar (1967; publication XXX) and 📚 Bardeen (1971) have shown that this is … a neutral point on the Maclaurin sequence against the perturbation of displacement at the surface where is one of the spheroidal coordinates." This is also the "neutral point" on the Maclaurin sequence labeled "F" in Table I of 📚 Hachisu & Eriguchi (1982); and the "bifurcation point" along the Maclaurin sequence that is labeled by the quantum numbers, in Table 1 of 📚 Hachisu & Eriguchi (1984).
Model-Sequence Details[edit]
| One-Ring Sequence (see figure inset) as quantitatively described in three separate studies† | ||||||||||||
| 📚 Eriguchi & Sugimoto (1981) Data extracted from their Table I |
📚 Hachisu, Eriguchi, & Sugimoto (1982) | 📚 Hachisu (1986a) | ||||||||||
| Data extracted from their Table I | Implication | Data extracted from his Table Ia | Implication (assuming G = ρ = 1) | |||||||||
|
†The data drawn from these three separate studies are displayed in the figure inset as follows:
|
||||||||||||
|
Figure 1 extracted from §2.2, p. 488 of … |
|
Most Interesting Initial Configurations for Axisymmetric Simulations[edit]
In what follows, keep in mind that,
|
|
|
|
Bardeen71[edit]
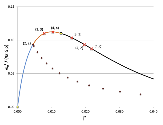
📚 Bardeen (1971) highlights five "critical points" along the Newtonian Maclaurin spheroid sequence in his Table B1 (Appendix B, p. 446).
|
Data extracted from Table B1 (Appendix B, p. 446) of … |
Our Determination |
||||
|
|
|
|
|
|
|
| n/a | |||||
NOTES:
- Secular bifurcation point to the (ellipsoidal) Jacobi sequence.
- Maximum value of along the Maclaurin spheroid sequence.
- First nonaxisymmetric (ellipsoidal) dynamical instability.
- Secular bifurcation point to the Dyson-Wong toroid.
- n/a — Not identified as a critical point by 📚 Bardeen (1971).
-
Dynamical identified by 📚 Bardeen (1971) …
- Also identified at as a bifurcation point in Table 2 (p. 292) of 📚 Eriguchi & Hachisu (1985).
HTE87[edit]
📚 Hachisu, Tohline, & Eriguchi (1987) highlight six "critical points" obtained by "local analysis" in their Table 4 (Appendix A, p. 611).
|
Data extracted from Table 4 (Appendix A, p. 611) of … |
Our Determination |
||||||
|
|
|
Type |
|
|
|
|
|
| n/a | |||||||
NOTES:
- Secular bifurcation point to the (ellipsoidal) Jacobi sequence.
- n/a — Not identified as a critical point by 📚 Hachisu, Tohline, & Eriguchi (1987).
- First nonaxisymmetric (ellipsoidal) dynamical instability.
- Secular bifurcation point to the Dyson-Wong toroid.
- Dynamical; first ring mode instability and bifurcation point to the Maclaurin toroid …
- Also identified at as a bifurcation point in Table 2 (p. 292) of 📚 Eriguchi & Hachisu (1985).
-
Dynamical identified by 📚 Bardeen (1971) …
- Also identified at as a bifurcation point in Table 2 (p. 292) of 📚 Eriguchi & Hachisu (1985).
(Temporary)[edit]
|
See Also[edit]
- Properties of Maclaurin Spheroids
- Excerpts from Maclaurin's (1742) A Treatise of Fluxions
- Properties of Homogeneous Ellipsoids
- Equilibrium Configurations and Sequences Generated by Eriguchi, Hachisu, and their various colleagues
- Ongoing Collaborative Discussions with Howard Cohl.
|
Appendices: | VisTrailsEquations | VisTrailsVariables | References | Ramblings | VisTrailsImages | myphys.lsu | ADS | |

