SSC/FreeEnergy/Powerpoint: Difference between revisions
| (One intermediate revision by the same user not shown) | |||
| Line 1,512: | Line 1,512: | ||
<div align="left"> | <div align="left"> | ||
<table border="2" cellpadding="5" align="center"> | <table border="2" cellpadding="5" align="center"> | ||
<tr><th align="center" colspan="2 | <tr><th align="center" colspan="2">Figure 2</th></tr> | ||
<tr> | <tr> | ||
<td align="center"> | <td align="center">{{ Stahler83figure }}</td> | ||
<td align="center" rowspan="2"> | <td align="center" rowspan="2"> | ||
[[File:MimicStahlerPlot3.png|center|350px|Case P equilibrium sequences with key configurations highlighted]] | [[File:MimicStahlerPlot3.png|center|350px|Case P equilibrium sequences with key configurations highlighted]] | ||
Latest revision as of 23:22, 23 December 2023
Supporting Derivations for Free-Energy PowerPoint Presentation[edit]
The derivations presented here are an extension of our accompanying free-energy synopsis. These additional details proved to be helpful while developing an overarching PowerPoint presentation.
General Free-Energy Expression[edit]
We're considering a free-energy function of the following form:
|
|
|
|
where,
As we have shown, setting,
|
|
|
|
generates a mathematical statement of virial equilibrium, namely,
|
|
|
|
And equilibrium configurations for which the second (as well as first) derivative of the free energy is zero are found at "critical" radii given by the expression,
|
|
|
|
Pressure-Truncated Polytropes[edit]
For pressure-truncated polytropes, set and let be the chosen polytropic index. In this case, the statement of virial equilibrium is,
|
|
|
|
and the critical equilibrium configuration has,
|
|
|
|
Case M[edit]
Set and constant and examine how the free-energy behaves as a function of the coordinates, . In this case (see, for example, here),
|
|
|
|
|
|
|
|
|
|
|
|
where the structural form factors for pressure-truncated polytropes are precisely defined here. And (see, for example, here),
|
|
|
|
|
|
|
|
If we set all three structural form-factors to unity, we have,
|
|
|
|
|
|
|
|
Virial Equilibrium[edit]
| Figure 1 |
|---|
So the statement of virial equilibrium becomes,
|
|
|
|
|
|
|
|
|
|
|
|
The light-blue dots in Figure 1 trace the equilibrium sequence that is defined by this virial equilibrium function in the case of .
Dynamical Instability[edit]
Along the "Case M" equilibrium sequence, the transition from stable to unstable configurations occurs at,
|
|
|
|
|
|
|
|
which, in combination with the virial equilibrium condition gives,
|
|
|
|
|
|
|
|
The location of this critical configuration along the equilibrium sequence is marked by the red circular dot in Figure 1.
Turning Point[edit]
Let's examine the curvature of the equilibrium sequence.
|
|
|
|
|
|
|
|
|
|
|
|
Setting this derivative to zero let's us identify the location of the turning point that identifies
|
|
|
|
|
|
|
|
And, returning to the virial equilibrium expression, we find that, associated with this equilibrium radius,
|
|
|
|
|
|
|
|
|
|
|
|
|
|
|
|
Notice that, under the assumption that all three structural filling-factors are unity, , that is, the location of the turning point coincides precisely with the point along the equilibrium sequence where the transition from stable to unstable equilibrium configurations occurs (marked by the red circular dot in Figure 1).
Case M Summary[edit]
|
Case M | |||||||
|---|---|---|---|---|---|---|---|
|
Order-of-Magnitude Analysis: Assume | |||||||
|
Virial Equilibrium: |
|
||||||
|
Dynamical Instability:
|
|
||||||
|
Turning Point :
|
|
||||||
Case P[edit]
Set and constant and examine how the free-energy behaves as a function of the coordinates, . In this case (see, for example, here),
|
|
|
|
|
|
|
|
|
|
|
|
|
|
|
|
|
|
|
|
where the structural form factors for pressure-truncated polytropes are precisely defined here. If we set all three structural form-factors to unity, we have,
|
|
|
|
|
|
|
|
Virial Equilibrium[edit]
So, the statement of virial equilibrium becomes,
|
|
|
|
|
Known Analytic Lane-Emden Functions |
|||
|
|
|
|
|
|
|
|
|
|
|
|
|
|
|
|
|
|
|
|
Dynamical Instability[edit]
Along the "Case P" equilibrium sequence, the transition from stable to unstable configurations occurs at,
|
|
|
|
|
|
|
|
which, in combination with the "Case P" virial equilibrium expression gives,
|
|
|
|
|
|
|
|
|
|
|
|
|
|
|
|
Turning Points[edit]
Let's simplify the notation, defining,
The statement of virial equilibrium becomes,
|
|
|
|
where,
Differentiating gives,
|
|
|
|
|
|
|
|
|
|
|
|
One turning point occurs where the numerator is zero, that is,
|
|
|
|
|
|
|
|
|
|
|
|
Plugging this into the virial equilibrium expression gives,
|
|
|
|
|
|
|
|
|
|
|
|
|
|
|
|
|
|
|
|
The associated mass is,
|
|
|
|
|
|
|
|
Notice that, for ,
|
|
|
|
Another turning point occurs where the denominator is zero, that is,
|
|
|
|
|
|
|
|
|
|
|
|
|
|
|
|
|
|
|
|
Plugging this into the virial equilibrium expression gives,
|
|
|
|
|
|
|
|
|
|
|
|
|
|
|
|
|
|
|
|
|
|
|
|
And the associated mass is,
|
|
|
|
|
|
|
|
Case P Summary[edit]
|
Case P | |||||||
|---|---|---|---|---|---|---|---|
|
Order-of-Magnitude Analysis: Assume | |||||||
|
Virial Equilibrium: |
|
||||||
|
Dynamical Instability:
|
|
||||||
|
Turning Point :
|
|
||||||
|
Turning Point :
|
|
||||||
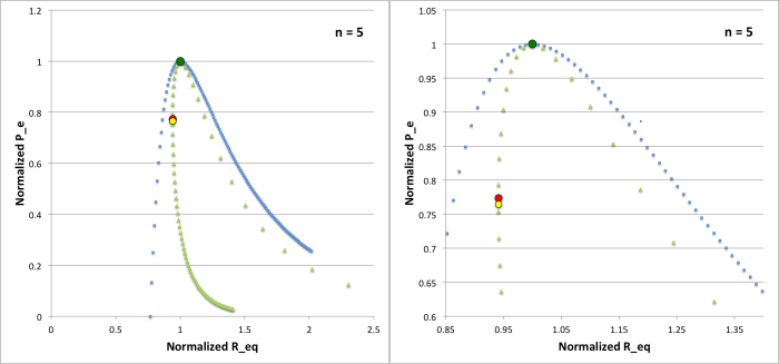
| Figure 2 | |
|---|---|
| S. W. Stahler (1983) The Equilibria of Rotating Isothermal Clouds. II. Structure and Dynamical Stability The Astrophysical Journal, Vol. 268, pp. 165 - 184 |
|
|
|
|
The right-hand panel of Figure 2 presents substantial segments of Case P virial equilibrium sequences for a range of polytropic indexes (n = 1, 2, 2.8, 3, 3.5, 4, 5). For each sequence, the location of the and turning points — if they exist — are denoted by a yellow or red circular dot, respectively. The point along each sequence at which the transition from dynamically stable to dynamically unstable structures occurs coincides with the location of (i.e., with the red circular dot).
For display purposes, all normalized masses have been further normalized to the maximum mass on the n = 3 sequence.
Detailed Force-Balance Models[edit]
Structural Form Factors[edit]
The following table of structural form factors has been drawn from here,
|
Structural Form Factors for Isolated Polytropes |
Structural Form Factors for Pressure-Truncated Polytropes |
||||||||||||||||||
|---|---|---|---|---|---|---|---|---|---|---|---|---|---|---|---|---|---|---|---|
|
|
and here,
|
Structural Form Factors for Pressure-Truncated n = 5 Polytropes | ||||||||||||
|---|---|---|---|---|---|---|---|---|---|---|---|---|
| ||||||||||||
Case M Equilibrium Conditions[edit]
Employing the renormalization factors,
|
|
|
|
|
|
|
|
we find from detailed force-balance analyses that the equilibrium radius and corresponding external pressure for "Case M" configurations are,
|
|
|
|
which matches the expression derived in an ASIDE box found with our introduction of the Lane-Emden equation, and
|
|
|
|
There are two turning points: One associated with a maximum in and one associated with a maximum in . According to Kimura's discussion, the first of these occurs in the configuration for which,
|
|
|
|
… |
For n = 5, this occurs when |
This point along the equilibrium sequence is identified by the dark green circular dot in Figure 3, below. The second occurs in the configuration for which,
|
|
|
|
… |
For n = 5, this occurs when |
This point along the equilibrium sequence is identified by the yellow circular dot in Figure 3, below. In addition, we have identified the point of dynamical instability.
|
|
|
|
|
|
|
|
|
|
|
|
But the equilibrium condition for n = 5 configurations is,
|
|
|
|
|
|
|
|
|
|
|
|
|
|
|
|
|
|
|
|
Putting the two expressions together gives,
|
|
|
|
|
|
|
|
|
|
|
|
This agrees with the expression derived in a separate ASIDE; as was pointed out in that context, the root of this equation is: , that is, . This point along the equilibrium sequence is identified by the red circular dot in Figure 3, below. It is almost — but definitely not — coincident with the configuration along the sequence (marked by the yellow circular dot) that is associated with the minimum-radius turning point.
Now for a movie!
Case P Equilibrium Conditions[edit]
The equilibrium radius and corresponding configuration mass from a "Case P" analysis are,
|
|
|
|
|
|
|
|
According to our review of, especially, Kimura's work, the turning point associated with occurs where,
|
|
|
|
… |
For n = 5, this occurs when |
And a turning point associated with occurs where,
|
|
|
|
For configurations, this means,
|
|
|
|
|
|
|
|
|
|
|
|
|
|
|
|
|
|
|
|
Five-One Bipolytropes[edit]
Basic Properties[edit]
For bipolytropes, in general, let and . The statement of virial equilibrium is, then,
|
|
|
|
And the critical equilibrium configuration has,
|
|
|
|
Here we choose to set and . Hence, these two conditions become, respectively,
|
|
|
|
and,
|
|
|
|
Comparing the general free-energy expression at the beginning of this chapter with the free-energy expression provided via our accompanying summary discussion of five-one bipolytropes, we find that,
|
|
|
|
|
|
|
|
|
|
|
|
where,
|
|
|
|
|
|
|
|
|
|
|
|
|
|
|
|
and,
|
|
|
|
|
|
|
|
In rewriting this last expression, we have made use of the two relations,
|
|
|
|
|
|
|
|
Consistent with our generic discussion of the stability of bipolytropes and the specific discussion of the stability of bipolytropes having , it can straightforwardly be shown that is satisfied by setting ; that is, the equilibrium condition is,
Furthermore, the equilibrium configuration is unstable whenever , that is, the transition from stable to unstable configurations whenever,
|
|
|
|
Table 1 of an accompanying chapter — and the red-dashed curve in the figure adjacent to that table — identifies some key properties of the model that marks the transition from stable to unstable configurations along equilibrium sequences that have various values of the mean-molecular weight ratio, .
Coincidence Between Points of Secular and Dynamical Instability[edit]
From the accompanying graphical display of equilibrium sequences, it seems that a turning point will only exist in five-one bipolytropes for less than some value — call it, — which is less than but approximately equal to . As we move along any sequence for which , in the direction of increasing , it is fair to ask whether the system becomes dynamically unstable (at ) before or after it encounters the point of secular instability marked by .
|
Appendices: | VisTrailsEquations | VisTrailsVariables | References | Ramblings | VisTrailsImages | myphys.lsu | ADS | |


